Laser ablation of polymers

Laser ablation is material removal under the action of short high intensity laser pulses. If the laser pulses are not too short (longer than 100 ps) laser ablation of metals can be described by the thermal surface model. It assumes thermal evaporation from the surface, which proceeds with the rate proportional to the saturated vapor pressure corresponding to surface temperature. As a result, the velocity of surface recession is given by the Arrhenius type law:
                                                                                               (1)
Application of this model to polymers contradicts some experimental observations. It does predict Arrhenius tails in weight loss measurements observed near ablation threshold (onset of ablation). It does not, however, predict sharp ablation threshold seen on polymers in profile measurements.

In order to reconcile these experimental observations we developed a model which retains Arrhenius behavior exhibited by (1), but is capable of predicting sharp threshold for ablation. We assume a first order chemical reaction within the bulk of material, which can be described by an Arrhenius law. This reaction breaks the bonds according to a symbolic equation.
                                                                                         (2)
Here, nb is the fraction of "broken" bonds per unit volume, 1-nb is the fraction of "virgin" bonds. In the moving (with time dependent velocity v) reference frame equation of chemical kinetics reads:
                                                                  (3)
Besides, this reaction may also create volatile species trapped within polymer matrix. These species may leave the material long after the end of the laser pulse, thus leading to an additional mass loss even below the real ablation threshold. Ablation starts when the density of broken bonds at the surface reaches a certain critical value.
                                                                                                                     (4)
This relation defines the position of the interface, and therefore its velocity v, implicitly.

Radiation is absorbed according to a linear Beer’s law with absorption coefficient a :
                                                                                                                     (5)
Heating is described by the one-dimensional heat conduction equation, written in the moving reference frame fixed with the ablation front
        (6)
The last (Arrhenius) term in the heat equation is due to the heat effect of reaction.

Stationary regimes of ablation are similar to those in surface ablation models, though the process demonstrates change of effective activation energy with laser intensity.

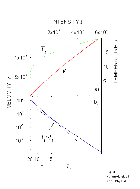
Parameters of stationary ablation for thermal volume decomposition model. a) Dependence of stationary velocity (red solid curve) and surface temperature (green dashed curve) on surface intensity. b) Dependence of stationary velocity on surface temperature in Arrhenius coordinates – ln(v) vs. reciprocal temperature (blue solid curve). Effective activation temperature for equivalent surface reaction changes from 2/3Ta at low intensities to Ta at high intensities. This turnover can be seen only at the Arrhenius plot, near Ts/T0~4.

In order to understand the ablation behavior near the threshold fluence, f th, non-stationary regimes are considered. The present treatment reveals several qualitative differences with respect to models which treat ablation as a surface process:
i) Ablation starts sharply with a front velocity that has its maximum value just after the onset.
ii) The transition to quasi-stationary ablation is much faster.
iii) Near threshold, the ablated depth has a square root dependence on laser fluence, f -f th. Ablation velocity is very big even at small (near threshold) ablated depth.
iv) With f » f th, ablation starts well after the laser pulse.
v) The depletion of species is responsible for the Arrhenius tail with fluences f £ f th.
vi) Residual modification of material has maximum near the threshold.

    Polyimide (KaptonTM H) is modeled as an example. Difference between mass loss and profile measurements of the order of 10 nm near the threshold is expected.

In order to solve the system of equation (3)-(6), which is a system of coupled non-linear time dependent partial differential equations with moving boundaries, a simplified method was developed. It is based on non-stationary spatial averaging, which reduces this system to four ordinary differential equations for physically important parameters. The resulting equations can be solved very fast, which allows one to study the dependence on different factors and derive some analytical results.

Time dependent distribution of broken bonds (blue line), temperature (green line) and laser intensity (red line) within the material. Reference frame moves together with the receding surface. Before ablation starts, the profile nb(x) is parabolic near the surface, which leads to an explosive onset of ablation. As interface moves, finite slope of nb(x) near the surface is formed self-consistently.


Time dependent behavior of different parameters in the volume and surface ablation models. Laser intensity (red dotted curve), surface temperature Ts - green solid curve, fraction of broken bonds at the surface ns - blue dashed curve, recession velocity v - magenta dash-dot, and ablated depth h - magenta dash-double dot. a) Volume model. Ablation starts sharply, at tcr when ncr is reached at the surface. Initially ablated depth has a square root behavior on time. Velocity v is singular near onset. Ablation occurs after the pulse and after the maximal surface temperature Tm was reached at tm. Despite small total ablated depth, ablation velocity is very high. b) Surface model. Maximum of velocity corresponds to maximum in surface temperature and velocity is small near the threshold.

Contributions of mass loss via volatile species hM (blue dashed line) and real ablation h (magenta solid line) to the overall effective ablated depth ht=hM+h (green dotted line). Arrhenius tails are due to volatile species, real ablation starts sharply. Modification of material and loss of volatile species hM have a sharp maximum near f th.

Home